全面解析最美物理公式:麦克斯韦方程组
本文内容视频版请点击麦克斯韦方程组解析
很早以前,人们就发现了电荷之间和磁体之间都有作用力,但是最初人们并未把这两种作用联系起来。后来,人们发现有些被闪电劈中的石头会具有磁性,于是猜测出电与磁之间可能存在某种关系。直到奥斯特、法拉第等人的努力,人们终于认识到电与磁的关系密不可分,人们利用磁铁制造发电机,也利用电流制造电磁铁。
但是,电与磁之间最深刻的物理关系是由麦克斯韦搞揭示的,麦克斯韦通过四个方程组成的方程组阐释了电与磁——这一对宇宙间最深刻的作用力之间的联系,并将电场和磁场统一了起来。麦克斯韦方程组从诞生起就一直被人们认为是世界上最美的物理公式。

这篇文章将带领大家了解一下麦克斯韦方程组的发现过程和具体含义,在这个过程中需要介绍一些数学基础。虽然对于大部分人来说,理解这个过程是十分辛苦的,但是当你真正理解麦克斯韦方程组时,你会和我一样惊叹于它的和谐和美丽。
场和场线
1758年,法国物理学家库伦最早研究了电荷之间的作用力,并提出了库伦定律:两个电荷之间的作用力与电荷量的乘积成正比,与二者之间的距离平方成反比。

从那以后,科学家们就一直在争论电荷之间作用力的方式:有些人认为电荷之间的作用力不需要时间和空间,一个电荷一瞬间就会对另一个电荷产生作用力,这就是所谓的“超距作用”。
随着科学的发展,超距作用的观点越来越被人们怀疑。终于,英国科学家法拉第提出了“电场”的概念。

法拉第认为:在电荷周围存在着一种物质,这种物质看不见也摸不着,但是它是存在的,它可以在空间中传递。当电场传递到另一个电荷处时,就会对另一个电荷产生力的作用。反过来,第二个电荷也会产生电场,从而对第一个电荷产生反作用力。也就是说:电荷之间的作用是通过电场传递的。

1851年,法拉第还创造性的提出了一种描述电场的方法:用一组带箭头的曲线表示电场,曲线的切线方向表示电场的方向,曲线的疏密描述电场的强弱。比如,一个单独的正电荷和一正一负两个电荷在空间中形成的电场如下:

这种描述场的方法称为“场线”,场线可以用来描述电场,也可以用来描述磁场。人们可以通过各种方法来模拟场线,例如:法拉第利用磁铁周围的铁屑模拟了磁感线的情况。

场和场线的提出为后来人们研究许多问题提供了方便。
电生磁、磁生电
第一个发现电与磁关系的人是丹麦物理学家奥斯特。
1820年,奥斯特在一次给学生上课的时候,偶然间把一个通电直导线放在了小磁针上方,他惊奇的发现:小磁针居然偏转了!在场的学生并没有发现这个现象的惊人之处,只有奥斯特为这个发现倍感兴奋。

经过仔细的研究,奥斯特提出了电流对小磁针的作用方式。在我们今天的观点看来,奥斯特其实阐明了通电导线的周围存在着以导线为圆心的环形磁场。后来,科学家安培指明了磁场的方向判断方法:右手螺旋定则。

在奥斯特发现电流可以产生磁场的消息传遍世界时,英国的法拉第刚满30岁,他当时还在化学家戴维的手下干活。许多人怀疑戴维处于嫉妒使用各种方法压制法拉第,例如强迫法拉第进行光学研究。直到1829年戴维去世后,法拉第才开始着手研究自己感兴趣的电磁学问题。
法拉第认为:既然电流可以产生磁场,那么磁铁也应该可以产生电流。为此,法拉第进行了一系列的物理实验,终于在1831年发现了电磁感应现象。

在一个铁环的两侧绕上两条不同的导线,第一个导线上通过电流时,另一侧的导线上也产生了电流。法拉第解释说:这是因为第一个电路的电流发生了变化,所产生的磁场也发生了变化,而变化的磁场可以产生电流。
我们还可以做这样的实验:将一根磁铁插入螺线管,螺线管连接到一个电流表上,也会发现电流表上有读数。这也满足法拉第所说的“在运动和变化的过程中,磁场可以产生电流。”

通过奥斯特、法拉第等人的发现,人们认识到电和磁并不是割裂的,而是紧密相关的,甚至有人认为:电和磁似乎是同一个问题的两个方面。
麦克斯韦方程组的数学基础
1860年,比法拉第年轻四十岁的青年科学家麦克斯韦来到了法拉第面前,他把他之前发表的论文《论法拉第的力线》递交给法拉第。法拉第大喜过望,并对麦克斯韦说:你不应该局限于用数学解释我的观点,而要有所创新。

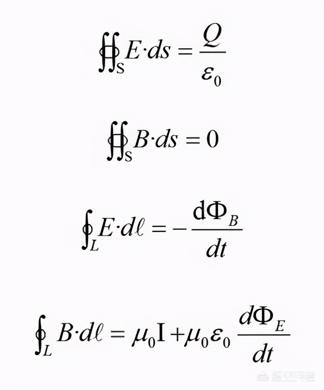
在法拉第的鼓励下,麦克斯韦进一步开拓了自己的观点,并最终总结成四个方程组成的麦克斯韦方程组。为了理解这四个方程,我们首先需要两种数学运算:通量和路径积分。
第一个概念是通量。如果电场E垂直穿过一个平面S,我们把电场E和面积S的乘积称为电场通量。如果电场E和平面S的法线夹一定的夹角,我们可以把电场进行正交分解,再用垂直于平面的分量乘以面积得到电场通量。

因为电场E可以用电场线的疏密表示,所以用电场E乘上面积S,实际上表示的就是穿过这个面的磁感线根数。假如各处电场不同,就需要把面积分割成无限多份,用每一小份的电场通量相加。

用数学表达式表示就是:

同样,磁场穿过一个面时也可以用同样的方法定义磁通量。用积分符号写作:

第二个概念是路径积分。如果一个电场E沿着路径AB的方向,用电场E乘以路径AB的长度L,就得到路径积分。如果电场E与路径AB方向夹一定角度,就把电场进行分解,把沿着AB方向的场分量乘以路径长度L。磁场也有类似的路径积分。

如果电场或磁场各处不同,我们就可以把路径AB分成无穷多份,把每一份的路径积分加起来,表示成:

需要注意路径并不一定是直线,沿着曲线也有路径积分。
麦克斯韦方程组
好了,现在我们知道了一个矢量可以计算通量,也可以计算路径积分。这样我们就可以来理解这四个伟大的方程了。
1.电场的有源性
麦克斯韦方程组的第一个方程用数学表示了法拉第的第一个观点:电荷会在周围空间产生电场。正电荷会向外发射电场线,负电荷会从周围吸收电场线。电荷的电量越大,所发射或者吸收的电场线越多。
如果我们用一个闭合曲面包围住一个电荷,那么这个闭合曲面上的电场通量就代表了电场线的根数。由于这些电场线都是由曲面内的电荷发射出来的,所以它正比于曲面内所有电荷的代数和。需要注意的是:无论我们所选取的曲面形状如何,只要它包围的电荷相同,它的电通量就是相同的。如果电荷在闭合曲面外,它发射的电场线就既要穿入曲面,又要穿出曲面,这样对曲面的电通量就没有贡献,因此在方程中考虑的电荷量都是曲面内部的电荷。

用公式写作

在这个公式中,等号左边部分表示 闭合曲面上的电通量,也就是穿出曲面的电场线根数,等号右边的Σq表示曲面内的电荷代数和,ε0称为真空介电常数。这个方程就是麦克斯韦方程组中的第一个方程,也称为电场高斯定律。这个方程告诉我们:电场是有源场,它的源就是空间中的电荷。
2. 磁场的无源性
与电场不同,无论是由磁体产生的磁场,还是由电流产生的磁场,磁感线总是闭合的。磁感线既没有出发点,也没有结束点。比如我们观察通电螺线管的磁场就会发现这个特点。

于是,如果我们在空间中做一个闭合曲面,磁感线要么不穿透这个曲面,要么一定是既穿入这个曲面,又穿出这个曲面,因此磁感线的通量为零。

这样,麦克斯韦方程组的第二个方程就可以写作:

这个方程称为磁场高斯定律,它告诉我们:磁场是无源的,既没有起点也没有终点,而总是闭合的。
3 磁场的环路积分
麦克斯韦方程组的第三个方程是为了解释法拉第电磁感应定律。

比如,当一个磁铁靠近一个导线圈时,导线圈中会产生感应电流。法拉第等人认为:这是因为磁铁靠近时,线圈中的磁通量发生了变化,而且产生的电动势正比于磁通量的变化率。
麦克斯韦经过思考,得出了一个设想:电动势的产生是由于有一种电场力推动了电荷,因此变化的磁场可以产生的是涡旋状的电场。假如有个导体恰好处于涡旋电场之中,就会在导体中产生感应电流。而且,这个涡旋电场的大小是正比于磁通量的变化率的。

于是,麦克斯韦把第三个方程写作:

方程左边表示沿着一个闭合路径的电场路径积分,它可以表示这个闭合路径上的电动势。而右侧表示磁场变化率的面通量,即磁通量的变化率。
这个方程用数学解释了法拉第电磁感应定律的成因,也可以描述成涡旋电场是有旋场。
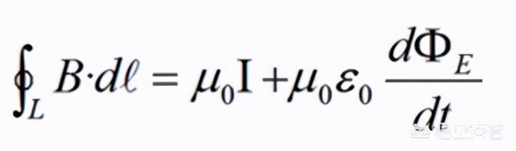
4. 磁场的路径积分
奥斯特时代起,人们就认识到电流周围存在磁场,而且磁感应强度正比于电流。麦克斯韦把这个特点用数学表达式写作:

等号左边表示一个任意的闭合路径上的磁场路径积分,右侧表示这个闭合路径所包围的电流之和。

不过,麦克斯韦的思想不仅仅局限于此。麦克斯韦设想:既然变化的磁场可以形成涡旋电场,那么变化的电场自然也能形成磁场。例如:在一个电路中有电容器,在电容器充电和放电的过程中,导线周围存在磁场。而电容器中的电场会发生变化,它的地位应该等同于电流。于是,麦克斯韦提出了位移电流的概念:变化的电场相当于电流。

最终,麦克斯韦把第四个方程写作:

等号左边表示沿着任意一个路径的磁场路径积分,右侧的μ0表示真空磁导率,I表示电流,Ф表示这个路径上所包围的电场通量。这个方程表示:电流和变化的电场都可以引起磁场。
麦克斯韦的预言
麦克斯韦方程组是人类有史以来最美的物理学方程,它具有强烈的对称性和自洽性。它告诉我们:电场和磁场并非单独存在,而是统一于电磁场之中。
不仅如此,麦克斯韦还经过计算证明:如果在真空中存在一个振荡的电场,那么在振荡电场的周围就会产生磁场,而这个磁场又会进一步产生电场…如此往复,电磁场就可以向远处传播,形成电磁波。

麦克斯韦计算了电磁波的速度,发现电磁波在真空中的速度刚好等于光速,于是大胆预言:光就是一种电磁波。
至此经典物理学走到了极致,物理学家们的信心极度膨胀。以至于1900年物理学家集会时,开尔文爵士自豪的宣称:物理学的大厦已经基本建成,后世只要再做一些修修补补的工作就可以了。
只可惜,麦克斯韦没有亲手证实它所预言的电磁波,1879年,年仅48岁的麦克斯韦与世长辞。而在同一年,现代物理学最伟大的科学家爱因斯坦刚刚出生。
在麦克斯韦之前,最伟大的物理学家是牛顿,因为他的万有引力定律统一了天上和地下,他证明了月亮和苹果满足同样的物理规律。在麦克斯韦之后最伟大的物理学家是爱因斯坦,因为他的狭义相对论和广义相对论统一了时间与空间,让人们认识到世界实际上是在一个统一的时空中存在的。而在牛顿和爱因斯坦之间,最伟大的物理学家就是麦克斯韦,他的方程组统一了电场与磁场,他预言的电磁波成为现代最重要的通讯方式。甚至于,爱因斯坦所提出的相对论,一部分原因也是为了处理麦克斯韦方程组的协变性问题。
有些人的寿命虽然不常,但是他光辉的思想却永远留在了世界上。

麦克斯韦

美提课堂www.mtketang.com.cn致力于打造中学理科(数学、物理、化学、生物)精品课程,致力于让优秀的课程服务更多的学生,所有老师均毕业于北大、清华、北师大等著名学府,并拥有国内一流中学十年以上教学经验。目前,网校已经累计开设直播课、专题课、公开课、讲座等数千小时。只需一次点击,让你和名师0距离!2021年寒假春季课程现在已经启动报名!快访问www.mtketang.com试听咨询客服电话4001552135,还有优惠可以领取哦!