回首“姜育恒”经典专辑——跟往事干杯
1988年由台湾飞碟唱片所推出的“姜育恒”经典专辑《跟往事干杯》!他在87年从“光美唱片”转到飞碟唱片,这张专辑是他在飞碟唱片的第二张专辑,对他来说这也无疑是他音乐生涯的一次重要转折点。

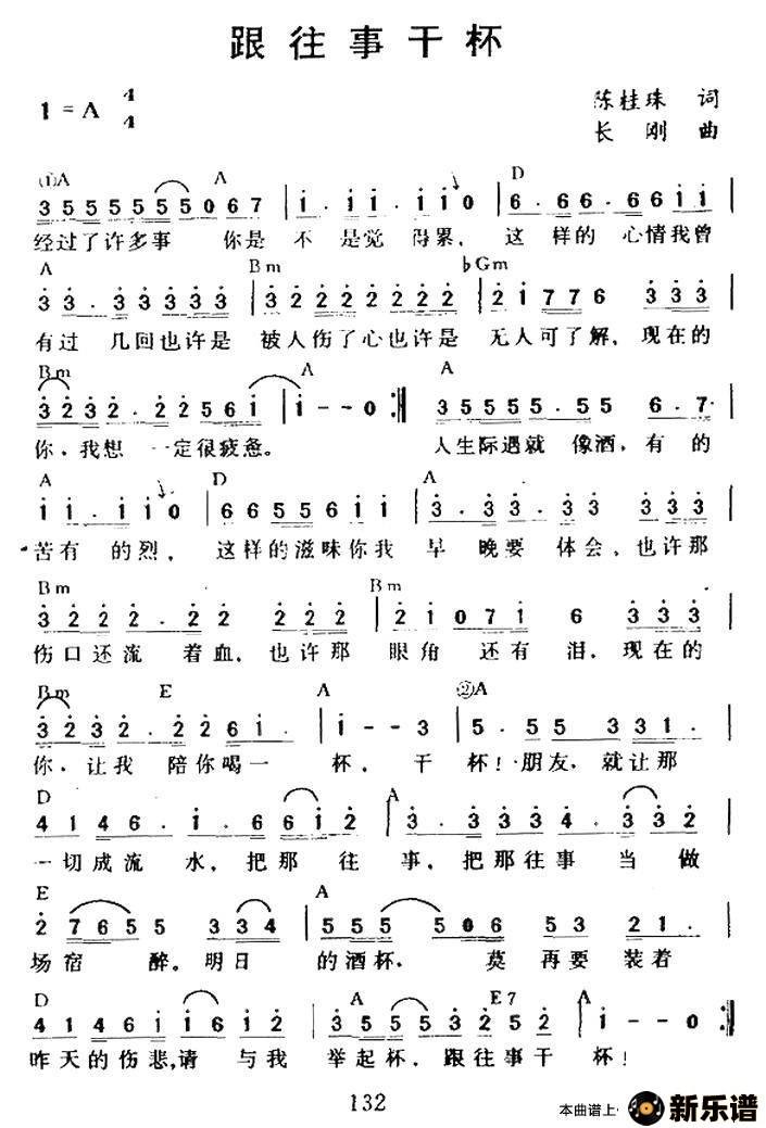
专辑共收录了十首歌曲,专辑的同名主打歌《跟往事干杯》,这首歌曾经风靡了大街小巷,但这是姜育恒翻唱的一首歌曲,原唱是日本音乐人“长渕yuān刚”的作品,由曾为童安格填写了《其实你不懂我的心》的台湾作词人“陈桂珠”重新填词;这首歌之所以能成为经典,少不了陈桂珠的精彩中文填词的功劳。

说实话,《跟往事干杯》这首歌呢,真的太适合姜育恒了,熟悉姜育恒的歌迷朋友应该都知道,他是一个非常爱喝酒的人,而且呢,他在录歌之前一直有一个习惯,就是他会喝一点点红酒来调整自己的情绪,然后找到最好的录音的状态;在这个专辑的歌词本当中还有这样的一段话,说他不是经常纵酒放歌的人,也不是个会对生活发出呐喊的人,他常常轻浅但深刻地唱些你心里的话,也总是在最深冷的夜里独自浅酌。

姜育恒(Johnny),1958年11月15日出生于韩国首尔,祖籍山东荣成,中国台湾男歌手。
1984年,发行首张个人专辑《孤独之旅》;1985年,发行专辑《但愿长醉》,入闱金嗓奖最佳男歌手奖;1989年,发行专辑《多年以后·再回首》 ,其中主打歌曲《再回首》走红并因在1991年的央视春晚上演唱而在中国大陆为人熟知 ;1992年11月,凭借专辑《一个人》获得第三届金曲奖最佳演唱专辑奖。2004年11月,受邀赴美国参加洛杉矶AM1300华语电台十周年台庆晚会,并获洛杉矶AM1300电台颁发”亚洲最受欢迎艺人奖”、 洛杉矶县政委员会颁发”亚洲杰出艺人奖”、洛杉矶阿凯迪亚市颁发”荣誉市民证书” ;2013年,举办世界巡回演唱会《我和我的朋友》。
姜育恒祖籍山东荣成,父母早年间去了韩国,在一个距离首尔100多公里的小镇生活。等到姜育恒上小学时已经家道中落,中学时代姜育恒为了上有中文教育的中学,离开父母外出求学,曾尝试过各种打工方式挣钱贴补家用,送过外卖、做过餐厅服务生、卖过鞋油,还在下雨的时候做过卖伞生意。少年时代的磨炼为他后来回台湾发展打下了基础,“姜育恒能吃苦”在圈内人人皆知。高中时姜育恒爱上音乐,还与同学组成乐团,一直持续到高三母亲病逝后。24岁时,父母早逝的姜育恒到台湾投奔姐姐一家,想找一份和音乐有关的工作,因为没有渠道,一年多都没有找到工作,甚至被迫去日本做服务生打工。后来,他在一家台湾夜总会谋得一份弹贝斯的差事,有歌手唱歌他就做乐手,没有歌星就客串一下主唱。1984年,姜育恒凭借忧郁的气质和独特的唱腔赢得了光美唱片的一纸合约 。
标签:
142
感情怎么挽救?你只要做到这四点就够了 情侣之间感情逐渐变淡,想要挽救却又无能为力,相信很多人都有过这样的经历。事实上挽救感情是讲究方法的,很多人即使是真心实意的去挽...
170
纯爱:悬疑刑侦文!《不正常博物图鉴》《心毒》强强联手破迷案 五本经典悬疑推理风格的纯爱文推荐,献给喜欢阅读的书友们! 以下五本书,案件扑朔迷离、凶手狡诈凶残。为还死...
52
变靓焕新!广州天河两座大型体育场馆拟升级改造 近日,广州多座体育场馆先后启动维修改造工程招标,招标公告透露了各场馆的改造内容及投资金额,改造、升级,天河体育中心、广...
200
中国需求降低,日本象印要把保温杯卖给欧洲和印度 记者|杨立赟 为了降低对中国市场的依赖程度,日本象印(ZOJIRUSHI)保温杯决定调整它的海外战略。 2018年是日本象印魔法瓶株式会...
110
元宵节,一块红糖,一碗糯米粉,做汤圆,十分钟上桌,香甜又软糯 历正月十五是中国传统的元宵节,又称上元节、小正月、元夜、灯节等。正月是农历的元月,古人称“夜”为“宵”...
144
戏骨韩惠淑终身未婚 天可见怜饰尹晶喜母亲 年轻性格傲娇受争议 随着时间的流逝,很多实力派的老戏骨都因为年纪越来越大淡出了娱乐圈,不过观众们还是没有忘记这些优秀的演员的...
98
嵊州:万事兴电器打造浙江厨房电器行业特色品牌 校企结姻缘 谋求新发展 万事兴电器打造浙江厨房电器行业特色品牌 日前,万事兴与浙江工业大学校企合作联合成立了浙江工业大学万...
96
今晚!CCTV5直播国足PK卡塔尔,武磊等中超球员迎来亚洲杯生死战 今晚!CCTV5直播国足PK卡塔尔,武磊等中超球员迎来亚洲杯生死战 北京时间1月22日晚(今晚)23时,卡塔尔亚洲杯小组赛...
185
邯郸这里扩充初中学位!即将招生! 为有效扩充初中学位,邯山区第一中学设立初中部,招收初中一年级学生,现就有关事宜公告如下: 一、招生计划 2023年秋季学期计划招生200名初一...
183
多少人把真爱给了初恋,把怨言留给现任?这就是真实的爱情! 多少人把真爱给了初恋,把怨言留给现任,这就是真实的爱情。 爱情,是人类最原始、最深沉的情感。它是一股无法遏...
74
T字战局:俄乌战争最残酷一战 战场上,乌克兰士兵与俄罗斯军队展开了过激阵地争夺战,持续了七天七夜。俄军多次尝试进攻乌军阵地,但乌方巧妙运用无人机和装甲车的配合,成功...
91
45个沙雕表情包 | 可爱有趣逗比的表情包呀 拿图吱一声哦~ 2 3 4 5...
133
中国0:0黎巴嫩赛后打分!2人优秀3人合格!武磊刘彬彬徐新拉胯! 中国0:0黎巴嫩赛后打分:2人优秀,3人合格,武磊刘彬彬徐新拉胯 这场比赛对于中国队来说,注定是充满挑战的一战。在亚...
118
2017诺贝尔文学奖揭晓!再不买这些书就买不到了! 北京时间2017年10月5日19点,2017年诺贝尔文学奖揭晓,作家石黑一雄(Kazuo Ishiguro)获奖。 石黑一雄,1954年出生于日本,1960年随家人...
140
结束「父女恋」,她立刻怀孕隐婚? 不得不佩服网友的火眼金睛。杨采钰最近在京都街头被拍到孕肚明显,同行的年轻男子疑似是素人。她与陈金飞相差30岁的「父女恋」,什么时候悄...
118
一生必去的十处最美春景 春天的美是含蓄的、羞涩的、高雅的;它美得自然、美得真实,美得洒脱,没有一丝一毫的虚假。春天,令人久等的季节。是时候脱下沉重的冬衣,舒展懒惰的...
85
卖校服订牛奶购教材赶学生操场吃饭,可不能把侮辱家长们智商哟 文:郑学良 天下熙熙,皆为利来。天下攘攘,皆为利往。 自9月1日起开学刚一周,按理说,新学期的开学是特别值得...
173
歌唱家梦鸽与徐晶晶,各唱经典老歌《微山湖》,谁的版本更胜一筹 视频加载中... 在中国乐坛的浩瀚星空中,众多歌唱家以其独特的嗓音和深情的演绎,为我们带来了无数经典之作。...
142
大转折来了?美国国内竟然开始讨论:直接后撤7000公里 文|朱晓瑜 近期有种说法称:美军很有可能要放弃第一、第二岛链,直接撤往7000公里外的第三岛链。 我还真查了一下消息来源...
131
央视《平凡之路》告诉我们:当女配太惊艳时,女主可以去打酱油了 本文内容来自于网络,若与实际情况不相符或存在侵权行为,请联系删除。 在央视的播出中,有一部名为《平凡之...