「解析几何」超全题型总结
第十四章:直线和圆
第一节:直线的方程与性质
题型一:直线的斜率与倾斜角;题型二:直线方程;题型三:直线的位置关系
题型四:距离问题;题型五:直线过定点问题;题型六:对称问题
第二节:圆的方程及直线与圆综合
题型一:圆的方程;题型二:点与圆的位置关系;题型三:直线与圆的位置关系
题型四:直线与圆的相交弦长问题;题型五:直线与圆相切及综合计算
题型六:圆与圆的位置关系及运用;题型七:与圆的距离最值问题
第十五章:圆锥曲线的方程
第一节:椭圆方程及性质
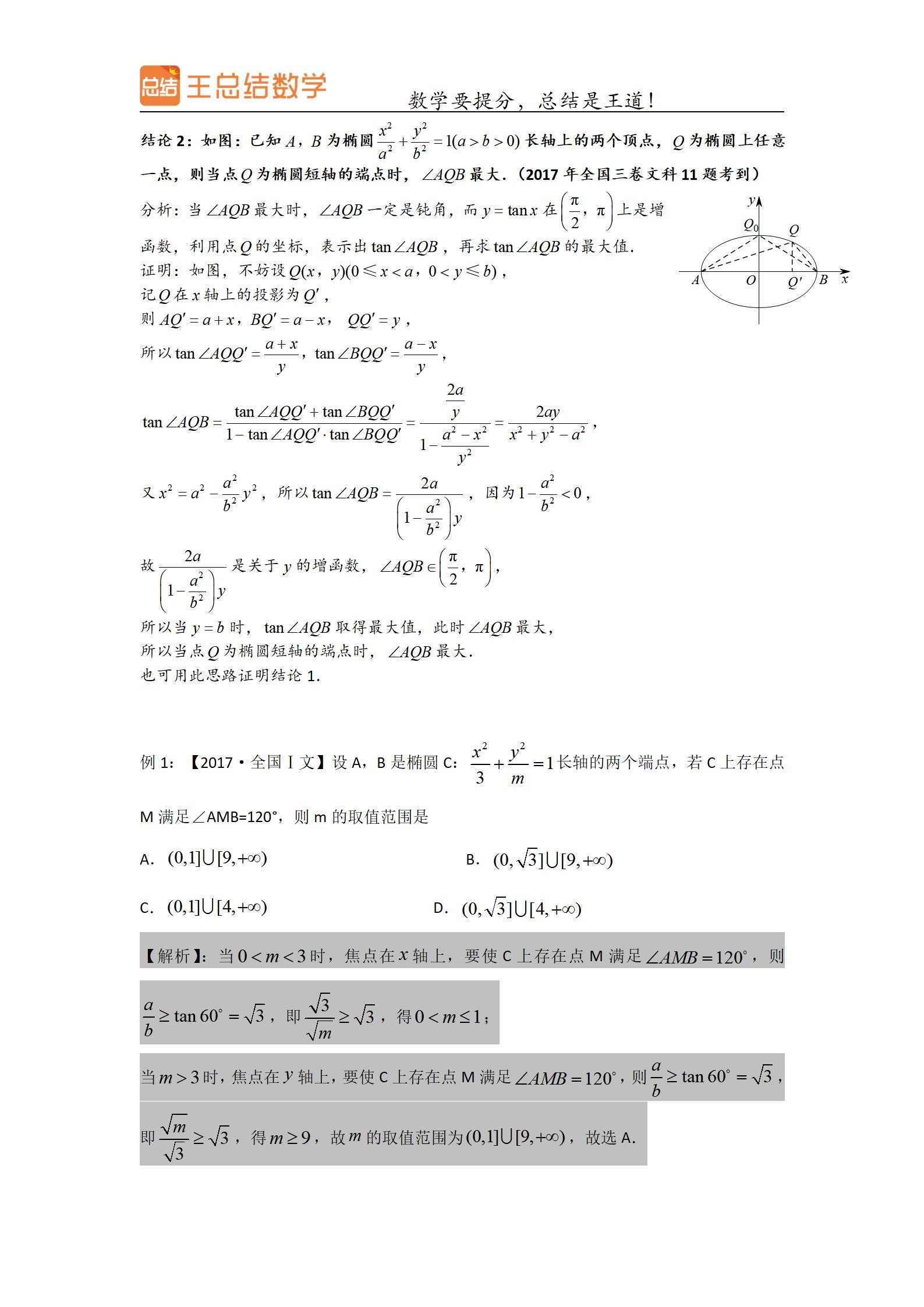
题型一:椭圆方程;题型二:椭圆的定义及应用;题型三:焦点三角形及性质
题型四:焦点三角形的最大张角模型;题型五:椭圆的离心率
第二节:双曲线的方程及性质
题型一:双曲线的定义及应用;题型二:双曲线的焦点三角形
题型三:双曲线的渐近线及应用;题型四:双曲线的方程
题型五:双曲线的离心率;题型六:双曲线与直线的位置关系
第三节:抛物线方程及性质
题型一:抛物线的定义及性质;题型二:抛物线的标准方程
题型三:抛物线的几何性质运用;题型四:直线与抛物线的关系
第四节:圆锥曲线中重要结论及综合应用
题型一:圆锥曲线二级结论运用
题型二:圆锥曲线的综合应用(多选训练)
第五节:解析几何大题题型归纳
题型一:面积的表达;题型二:参数范围
题型三:定点定直线;题型四:轨迹及轨迹方程
题型五:定值问题;题型六:存在性问题







































标签:
98
《灌篮高手》牧绅一有多强大,打爆湘北首发五虎的无敌帝王 在剧情年出现的皇牌级球员中,牧绅一算是唯一一个堪称全方位无死角的“完美”存在。 在队内有着绝对的领袖地位,更...
195
费翔不再回避!终于坦言至今未娶的难言之隐,原来骗我们这么多年 惊天大揭秘!费翔首度敞开心扉,至今未娶的真相曝光,网友直呼:原来被骗这么多年! 在娱乐圈这个光鲜亮丽的...
146
问卷网调研:21.70%的已婚人士约过炮 对于现在的年轻人,约炮已经不再是一个隐而不谈的话题,反而是许多青年人的茶余饭后的聊资。那么,真的有那么多人约炮吗? 问卷网针对约炮...
176
手握OPPO A11:感受AI四摄+5000mAh强续航的全面体验 最近一段时间智能手机市场上新机频出,各大厂商除了纷纷发布旗舰展示实力外,也不忘发力千元机,OPPO就推出了A系列新品OPPO A11,与...
169
十月怀胎这么神奇!9张图清晰反应胎儿1-40周发育全过程 生命的孕育是非常神奇的、非常美妙的,妈妈们在孕期的时候,都是非常关心宝宝的发育,但是很多的妈妈并不能每周都看到自...
112
盘点国产汽车质量前十品牌,红旗登顶,吉利未进前五! 国产车质量前十榜单 在日新月异的中国汽车市场中,国产品牌凭借技术创新与品质提升,逐渐赢得了国内外消费者的广泛认可...
57
14个葡萄牙冷知识:带你了解真实的葡萄牙 葡萄牙共和国,简称葡萄牙,位于欧洲西部,属于一个共和制国家,通用语言为葡萄牙语,首都里斯本。 1.众所周知,葡萄牙的官方语言是葡...
70
不可错过的9道减脂餐,简单美味,吃完真的太掉秤了,收藏了! #头条晒图大赛# 辣拌折耳根 蒜末黄瓜香肠片 玉米肉沫 蒜片荷兰豆炒肉丝 芦笋口蘑拌虾仁 菠菜鸡蛋卷 黄瓜丝拌鸡胸 生...
111
女神杨晨晨淡绿色长裙白丝写真(73) 喜闻乐见的人物故事——王磊的冒险旅程 人物故事一:不平凡的少年王磊 在一个普通的小镇上住着一个十岁的男孩,名叫王磊。 他个子不高,脸...
121
春节红包习俗:给多少?怎么给?发红包的由来你知道吗? 过年发红包的习俗是中国传统文化中的一部分,可以追溯到很久以前。通常情况下,过年发红包是在农历新年期间进行的。具...
96
法国印象主义艺术大师马奈作品25幅,其中经典的几张大家肯定见过 ||法国印象主义艺术大师马奈作品25幅 爱德华·马奈是19世纪法国印象主义画派的奠基人之一,1832年他出生于法国巴黎...
157
乐山警察杀人案,一夜之间“从英雄到罪犯” #翻开我的生活日记#乐山警察杀人一夜之间“从英雄变罪犯” 这两天又一突发事件在网络中被迅速传播,据报道7月26日,乐山市沐川县发生...
155
“闲鱼”APP竟然暗藏色情陪聊等服务入口,记者揭秘这里面的内幕 导语: 近期,网络上出现了关于“闲鱼卖孩子”的热议话题,引起了广泛的关注和讨论。本文将深入探讨闲鱼平台的...
199
公务员待遇知多少?(二十四)天津 宝宝们,大家好,我是奇妙。今天我给大家介绍的是美女出东邻,容与上天津——天津市公务员待遇。 请宝宝们动动上岸的手指点击关注。 天津市...
161
七骑士新版本介绍 七骑士 作为一款泡菜类卡牌游戏,在玩法上还是可圈可点的,虽然刚上手的时候,会让人摸不着头脑,玩的时间久了,你会发现游戏在很多细节上做的比国产游戏要...
184
1993年,中俄列车遭匪徒洗劫奸辱数天,政府下达命令:跨国追捕_2 一、案件背景:中俄列车与“倒爷”的淘金热 20世纪90年代初,随着中苏关系正常化及俄罗斯轻工业产品需求激增,北...
189
关于抗美援朝的感人故事 1952年1月2日清晨,罗盛教和战友宋惠云一起去河边练习投掷榴弹。正值隆冬季节,河面已被厚厚的冰雪盖住,几个儿童正在滑冰,笑声阵阵。忽然,传来了呼救...
102
IG被LGD当人机吊打,74分钟就打完BO5!看到冒泡赛对手就没希望了 LPL夏季赛季后赛第二轮的第二场比赛,是由LGD对阵IG。在这场比赛开始之前,相信大部分的观众,都觉得IG会获得比赛的...
130
兰州瓜农刺死城管案再开庭,被告瓜农王爱武患精神病缺席庭审 一、兰州瓜农刺死城管案,一场本不该发生的悲剧 11月28日,兰州市中级人民法院再次开庭审理了这起震惊全社会的“兰...
85
遭受误解的车浚后人:车胤的坎坷成长史 车胤是东晋时期的人物,其名又称允,字为武子(约330~404)。他出生于南平郡(现今的澧县境地,在晋朝时期半属南平,隋朝时废南平并入澧...